An Interactive Path Tracing Renderer Based on Optix
Date: June, 2024
GitHub: Project Repository
Introduction Video
Project Description
项目环境
OptiX 7
CUDA 12
Visual Studio 2022
项目结构
LauchParams.h 缓冲区结构体
Material_def.h 材质结构体
MyInteraction.h 求交结构体
Model.h 模型加载
MyMaterial.h bsdf函数
MyTools.h 工具函数
PostProcess.h 屏幕空间后处理
SampleRenderer.h 渲染器架构
deviceProgram.cu 着色器代码
MyShader.c char[]格式着色器机器码
实现功能
GPU加速
蒙特卡洛路径追踪
PBR材质
直接光采样
时域降噪
环境光贴图
纹理贴图
法向插值
屏幕空间后处理
实现细节
GPU加速
基本只是调用OptiX API,代码参考了 https://github/ingowald/optix7course/tree/master
蒙特卡洛路径追踪
使用最传统的蒙特卡洛算法
spp = 1
maxbounce = 24
PBR材质
分为diffuse、specular、dielectric三种bsdf函数,通过材质的metallic和transmission参数(mtl格式中的Tf[0],0表示完全不透射,1表示完全透射)计算选择每一种bsdf函数的概率,详见MyMaterial.h中的cal_bsdf函数
diffuse bsdf:
采样:均匀在半球采样
bsdf计算公式:

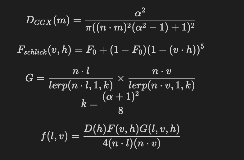
specular bsdf:
采样:一种近似的bsdf采样,根据roughness对完美反射向量和随机在半球采样得到的向量进行插值
bsdf计算公式:
dielectric bsdf:
采样:根据roughness对完美折射向量和随机在半球采样得到的向量进行插值
全反射和菲涅尔现象:从介质射入空气时,考虑是否发生全反射,同时每次光线弹舌时,根据菲涅尔系数计算发射折射与反射的概率
直接光采样
为解决封闭场景中难以采样光源的问题,对diffuse材质额外采用直接光采样。 光线与模型相交后,如果是diffuse材质,则从面光源上随机选一点发射一条shadowray对光源进行采样
时域降噪
给每个像素一个buffer储存平均颜色信息,当视角改变后清空buffer重新计算
环境光贴图
读取hdr格式环境光纹理,转换到rgb空间
屏幕空间后处理
对储存每个像素颜色信息的buffer进行操作,转换到hsv空间调整亮度、饱和度、对比度再转换回rgb空间
效果展示
